- 16
- Mar
- 2023
Analisi delle catture di insetti ematofagi nel 2022 nel Comune di Bologna
Marzo 16, 2023Nell’ambito di un progetto pilota per la sorveglianza urbana di West Nile Virus, da maggio a settembre 2022, nel Comune di Bologna, sono state attivate ogni 14 giorni, 11 trappole innescate ad anidride carbonica.
Sfruttando i dati raccolti si sono potute ricavare interessanti informazioni sulla composizione faunistica degli ematofagi presenti nel territorio comunale.
Dall’analisi, i dati delle specie di insetti ematofagi si possono raggruppare in 4 macro aree:
- collina
- pianura
- fiume Reno
- urbana
In generale in tutti i quattro ambienti le specie di zanzare prevalenti sono state Culex pipiens e Aedes albopictus ma con alcune differenze.
Si osserva una maggiore presenza di Flebotomi in collina, mentre in pianura oltre alle due specie principali sono stati catturati esemplari di Coquillettidia richiardii, e infine nelle trappole attivate in prossimità del fiume Reno sono stati catturati un maggior numero di Simulidi.

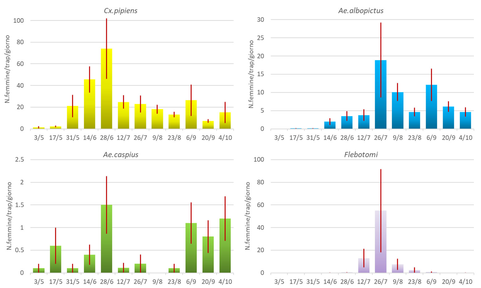
L’andamento stagionale di Cx. pipiens, principale specie presente a Bologna, ha evidenziato un picco a fine giugno ed un secondo picco, nettamente inferiore, a settembre.
L’andamento stagionale di Ae. albopictus è stato a campana con una crescita, inizialmente esponenziale, che ha raggiunto il picco a fine luglio per poi regredire gradualmente nei mesi successivi.
L’analisi delle catture di Aedes caspius, specie legata ad ambienti a sommersione periodica, ha evidenziato 3 picchi: a metà maggio, a fine giugno e a settembre. Infine, si è osservato un picco di catture di flebotomi, soprattutto nelle trappole pedecollinari, a fine luglio.

Tali dati aggiornano lo stato della presenza di specie ematofaghe vettrici di patogeni indicando il rischio da arbovirus quali West Nile virus, chikungunya e dengue trasmessi da zanzare e e Toscana virus e Leishmania trasmessi dai flebotomi.